FY2012 Science Highlights
View highlights from other years: Recent Highlights | FY2013 | FY2011 | Archives
ALMA: Detection of Sugars around a Proto-star
Glycolaldehyde (HCOCH2OH) is the simplest sugar and an important intermediate in the path toward forming more complex biologically relevant molecules and understanding their full chemistry. Joergensen et al present the first detection of 13 transitions of glycolaldehyde around a solar-type young star, using Atacama Large Millimeter/submillimeter Array (ALMA) observations of the Class 0 protostellar binary IRAS 16293-2422 at 220 GHz (6 transitions) and 690 GHz (7 transitions). The glycolaldehyde lines have their origin in warm (200-300 K) gas close to the individual components of the binary. The data also show a tentative detection of ethylene glycol, the reduced alcohol of glycolaldehyde.
View Publication: Jes K. Jørgensen (Copenhagen), Cécile Favre (Aarhus), Suzanne E. Bisschop (Copenhagen), Tyler L. Bourke (Harvard-Smithsonian Center for Astrophysics), Ewine F. van Dishoeck (Leiden, MPIfE), and Markus Schmalzl (Leiden), 2012, ApJ Letters, 757, L4.
ALMA: Imaging Gas in a Proto-planetary Disk
Rosenfeld et al. present a detailed analysis of the spatially and spectrally resolved 12CO J = 2-1 and J = 3-2 emission lines from the TW Hya circumstellar disk, based on Atacama Large Millimeter/submillimeter Array (ALMA) science verification data, and trace molecular gas as close as 2 AU from the central star. These data are reasonably modeled by a warped disk on AU scales. Such a warp could be generated by an embedded massive planet in the disk.
View Publication: Katherine A. Rosenfeld, Chunhua Qi, Sean M. Andrews, David J. Wilner (Harvard-Smithsonian Center for Astrophysics); Stuartt A. Corder (NRAO); C. P. Dullemond (Heidelberg); Shin-Yi Lin (UC-San Diego); A. M. Hughes (UC-Berkeley); Paola D'Alessio (UNAM); and P. T. P. Ho (ASIAA), 2012, ApJ, 757,129.
GBT & Lab Astrochemistry: A New Molecular Discovery
A comparison of lab spectra from the University of Virginia astrochemistry group with the Green Bank Telescope (GBT) Prebiotic Interstellar Molecule Survey (PRIMOS) has identified a new interstellar medium molecule, an isomer of methyl formate, toward Sgr B2. These results highlight the synergy between laboratory chemistry and astrochemistry. The difference in the rotational temperatures of the two conformers of methyl formate suggests that they have different spatial distributions in this source, or the system is not in thermodynamic equilibrium.
View Publication: Justin L. Neill (Virginia, Michigan); Matt T. Muckle, Daniel P. Zaleski, Amanda L. Steber, Brooks H. Pate (Virginia); Valerio Lattanzi, Silvia Spezzano, Michael C. McCarthy (Harvard--Smithsonian Center for Astrophysics, Harvard); and Anthony J. Remijan (NRAO), 2012, ApJ, 755, 153.
VLBA & VLA: Distance & Size of a Hypergiant Star
The red hypergiant NML Cyg has been assumed to be at part of the Cyg OB2 association. A reliable distance is crucial to study the properties of this prominent star. Zhang et al. used the Very Long Baseline Array (VLBA) to determine the proper motion of the NML Cyg using water and SiO masers, as well as the photospheric continuum. The annual parallax is determined to be 0.620 ± 0.047 mas, corresponding to a distance of 1.61 (+0.13, -0.11) kpc, placing the star on the far side of the Cyg OB association. The stellar luminosity, revised with this distance, brings NML Cyg significantly below the empirical luminosity limit for a red supergiant. Zhang et al. also measure a size for the radio photosphere at 43 GHz of 44 milli-arcsec using the VLA.
View Publication: B. Zhang (MPIfR, Shanghai) M. J. Reid (Harvard-Smithsonian Center for Astrophysics, K. M. Mentem (MPIfR), X. W. Zheng (Nanjing), and A. Brunthaler (MPIfR, NRAO), 2012, A&A, 544, A42.
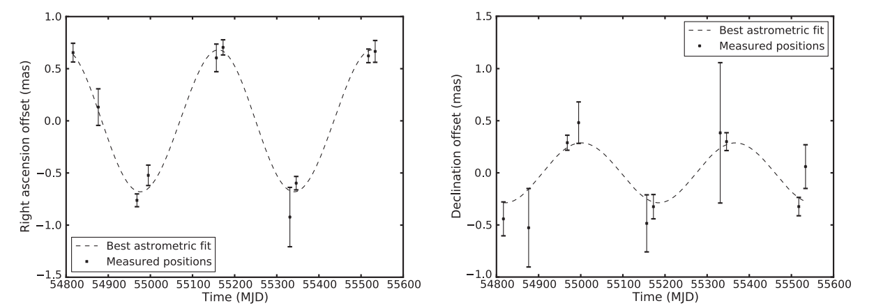
VLBA: Distance & Mass of a Transitional Milli-second Pulsar
Deller et al. use the Very Long Baseline Array (VLBA) to measure a direct parallactic distance to the transitional millisecond pulsar J1023+0038. Variable X-ray emission from this system indicates it is in the crucial, short-lived evolutionary phase of mass transfer from the stellar companion that leads to the high spin-up of the neutral star to generate a milli-second pulsar. From the parallax (0.731 ± 0.022 mas) and proper motion (17.98 ± 0.05 mas/yr), and using previous optical observations, Deller et al. derive a distance of 1368 pc (+42, -39 pc), a neutron star mass of 1.71 ± 0.16M⊙, and a 3D space velocity of 126 ± 5 km/s.
View Publication: A. T. Deller (ASTRON), A. M. Archibald (McGill), W. F. Brisken (NRAO), S. Chatterjee (Cornell), G. H. Janssen (Jodrell Bank), V. M. Kaspi (McGill), D. Lorimer (West Virginia), A. G. Lyne (Jodrell Bank), M. A. McLaughlin (West Virginia), S. Ransom (NRAO), I. H. Stairs (British Columbia), and B. Stappers (Jodrell Bank), 2012, ApJ Letters, 756, L25.
Jansky VLA: Imaging Molecular Gas in Forming Massive Galaxies
Ivison et al. image the CO emission from two radio galaxies at z = 3 using the Jansky Very Large Array (VLA) and the Plateau de Bure Interferometer. The results indicate extreme, dense starbursts in complex, merging gas rich galaxies. The authors see evidence for AGN feedback on the molecular gas through enhanced turbulence and high CO excitation.
View Publication: R. J. Ivison (Royal Observatory, Edinburgh), Ian Smail (Durham), A. Amblard (NASA-Ames), V. Arumugam (Edinburgh), C. De Breuck (ESO), B. H. C. Emonts (CSIRO), I. Feain (CSIRO), T. R. Greve (Univ College London), M. Haas (Ruhr-Universität Bochum), E. Ibar (Royal Observatory, Edinburgh), M. J. Jarvis (Hertfordshire), A. Kovács (Caltech, Minnesota), M. D. Lehnert (Observatoire de Paris), N. P. H. Nesvadba (Institut d'Astrophysique Spatiale), H. J. A. Röttgering (Leiden), N. Seymour (CSIRO), D. Wylezalek (ESO), 2012, MNRAS, 425, 1320.
Jansky VLA: Imaging Molecular Gas in Early Disk Galaxies
Aravena et al. conducted a deep survey of a group of star forming disk galaxies at z = 1.55 for CO 1-0 emission with the Jansky Very Large Array (VLA). Two of the four targeted galaxies are detected in CO emission. The authors also performed a blind search of the wide VLA band, and find CO emission from two other galaxies in the field. These observations demonstrate that, during the peak epoch of cosmic star formation, star-forming disk galaxies contain large masses of molecular gas without extreme starbursts. The gas masses are greater than the stellar masses, indicating a fundamental change in galaxy properties during the epoch of galaxy assembly.
View Publication: M. Aravena (ESO), C. L. Carilli (NRAO), M. Salvato (MPIfPP), M. Tanaka (Tokyo), L. Lentati (Cavendish, Cambridge), E. Schinnerer (MPIfA), F. Walter (MPIfA), D. Riechers (Caltech), V. Smǒlcić (ESO, Argelander, Univ Zagreb), P. Capak (Caltech), H. Aussel (CNRS), F. Bertoldi (Argelander), S. C. Chapman (Institute of Astronomy, Cambridge), D. Farrah (Sussex, Virginia Tech) A. Finoguenov (MPIfEP), E. Le Floc'h (CNRS), D. Lutz (MPIfEP), G. Magdis (Oxford), S. Oliver (Sussex), L. Riguccini (Ehime), S. Berta (MPIfEP), B. Magnelli (MPIfEP), F. Pozzi (Bologna, INAF), 2012, MNRAS, 426, 258.
[C II] Line Emission in Massive Star-forming Galaxies at z = 4.7
The 158 μm [CII] fine structure line is the best tracer of cool atomic gas in high z galaxies. With just 16 antennas in 20 min at 340 GHz, the Atacama Large Millimeter/submillimeter Array (ALMA) has acquired the deepest observations at these frequencies by 10X, observing the dust continuum and [CII] line emission from BR1202-0725, a canonical starburst group galaxies at z = 4.7. Three galaxies were detected – a FIR-luminous quasar, a hyper-starburst galaxy, and a normal star-forming galaxy – revealing early massive galaxy formation in a merging, starburst group within 1.3 Gyr of the Big Bang.
View Publication: Wagg, J. (ESO), Wiklind, T. (JAO), Carilli, C. L. (NRAO, Cambridge), Espada, D. (NAOJ), Peck, A. (JAO), Riechers, D. (Caltech), Walter, F. (MPIfA, NRAO), Wootten, A. (NRAO), Aravena, M. (ESO), Barkats, D. (JAO) et al., 2012, ApJ Letters, 752, L30.
Blind Detections of CO J = 1-0 in 11 H-ATLAS Galaxies at z = 2.1-3.5 with the GBT/Zpectrometer
The Herschel Space Observatory has identified large samples of gravitationally lensed, very dusty, FIR-luminous star-forming galaxies, but optical redshifts are difficult to obtain for these objects owing to dust obscuration. The Zpectrometer ultra-wide bandwidth spectrometer on the 100-meter diameter NRAO Green Bank Telescope has become a powerful tool to measure these redshifts and study molecular gas properties in early galaxies. Nine new redshifts are reported that were obtained via measurements of the carbon monoxide ground state rotational transition (12C16O, J=1-0) with the Zpectrometer on the Green Bank Telescope. Analysis of CO linewidths and luminosities provides a method for finding approximate gravitational lens magnifications μ from spectroscopic data alone, yielding μ ~ 3-20. Corrected for magnification, most galaxy luminosities in this sample are consistent with an ultraluminous infrared galaxy classification, but three are candidate hyper-LIRGs with luminosities greater than 1013 L ☉.
View Publication: Harris, A. I. (Maryland), Baker, A. J. (Rutgers), Frayer, D. T. (NRAO), Smail, Ian (Durham), Swinbank, A. M. (Durham), Riechers, D. A. (Caltech), van der Werf, P. P. (Leiden), Auld, R. (Cardiff), Baes, M. (Gent), Bussmann, R. S. (Harvard CfA), Buttiglione, S. (INAF) et al., 2012, ApJ, 752, 152.
The intense starburst HDF 850.1 in a Galaxy Overdensity at z ≈ 5.2 in the Hubble Deep Field
HDF850.1 was the first optically obscured, distant extreme starburst ‘submm galaxy’ discovered. For more than a decade, and despite significant efforts, no counterpart was found at shorter wavelengths, and it was not possible to determine its redshift, size, or mass. The authors report a redshift of z = 5.183 for HDF850.1 determined from a millimeter-wave molecular line scan using the NRAO Jansky Very Large Array and the Plateau de Bure interferometers. This places HDF850.1 in a galaxy overdensity at z ~ 5.2, only 1.1 billion years after the Big Bang. This redshift is significantly higher than earlier estimates and higher than those of most of the hundreds of submm galaxies identified to date. The source has a star-formation rate of 850 M(Sun)/year and is spatially resolved on scales of 5 kpc, with an implied dynamical mass of about 1.3×1011 M(Sun), a significant fraction of which is present in the form of molecular gas. Despite the accurate redshift and position, a counterpart emitting optical or near infrared starlight is still not seen.
View Publication: Walter, F. (MPIfA), Decarli, R. (MPIfA), Carilli, C. (NRAO, Cambridge), Bertoldi, F. (Bonn), Cox, P. (IRAM), da Cunha, E. (MPIfA), Daddi, E. (CEA Saclay), Dickinson, M. (NOAO), Downes, D. (IRAM), Elbaz, D. (CEA Saclay), Ellis, R. (Caltech), Hodge, J. (MPIfA) et al., 2012, Nature, 486, 7402.
VLA Imaging of 12CO J=1-0 and Free-free Emission in Lensed Submillimetre Galaxies
Using gravitational lensing to magnify distant galaxies, the NRAO Jansky Very Large Array has imaged the molecular gas in a set of lower luminosity star-forming galaxies at z ~ 2.5. Large rotating disks that contain warm molecular gas are seen, and thermal free-free emission was detected for the first time in distant galaxies, providing the best measure to date of star formation rates.
View Publication: Thomson, A. P. (Edinburgh), Ivison, R. J. (Edinburgh, UKATC), Smail, I. (Durham), Swinbank, A. M. (Durham), Weiss, A. (MPIfR), Kneib, J.-P. (Marseille), Papadopoulos, P. (MPIfR), Baker, A. J. (Rutgers), Sharon, C. E. (Rutgers), van Moorsel, G. A. (NRAO), 2012, MNRAS, 425, 2203.
Interacting Cosmic Rays with Molecular Clouds: A Bremsstrahlung Origin of Diffuse High Energy Emission from the Inner 2deg by 1deg of the Galactic Center
Diffuse γ-ray emission (1-300 Gev) from the Galactic Center has been difficult to explain. A NRAO Green Bank Telescope 1.4 GHz synchrotron image compared with the Fermi Gamma-ray Space Telescope image shows clear correlation, indicating that the γ-rays are produced by thermal bremstrahlung due to interaction of the synchrotron emitting relativistic electrons with the thermal gas.
View Publication: Yusef-Zadeh, F. (Northwestern), Hewitt, J.W. (NASA-Goddard), Wardle, M. (Macquarie), Tatischeff, V. (Paris-Sud), Roberts, D. (Northwestern), Cotton, W. (NRAO), Uchiyama, H. (Kyoto), Nobukawa, M. (Kyoto), Tsuru, T.G. (Kyoto), Heinke, C. (Alberta), & Royster, M. (Northwestern), submitted 8 Jun 2012 to ApJ.
A Recollimation Shock 80 mas from the Core in the Jet of the Radio Galaxy 3C 120: Observational Evidence and Modeling
3C120 is a canonical radio jet powered by a supermassive black hole, and a unique Fermi GeV source. Multi-frequency, high-sensitivity observations with the NRAO Very Long Baseline Array show relativistic motion for most components in a parsec-scale jet. One component of the jet (C80) appears stationary. These data are interpreted via a model that includes a recollimation shock, effectively a standing-wave, that is collimating the large scale jet into a narrow channel that propagates out to 100 kilo-parsecs.
View Publication: Agudo, I. (Andalucia, Boston), Gómez, J.L. (Andalucia), Casadio, C. (Andalucia), Cawthorne, T.V. (Central Lancashire), Roca-Sogorb, M. (Andalucia), 2012, ApJ, 752, 92.
View highlights from other years: Recent Highlights | FY2013 | FY2011 | Archives














Connect with NRAO