VLA Observational Status Summary 2023A
VLA capabilities January 2023 - October 2023
https://science.nrao.edu/facilities/vla/docs/manuals/oss2023A
https://science.nrao.edu/@@site-logo/headergraphic_v3.png
VLA Observational Status Summary 2023A
VLA capabilities January 2023 - October 2023
VLAreshigh.png
https://science.nrao.edu/facilities/vla/docs/manuals/oss2023A/VLAreshigh.png/view
https://science.nrao.edu/facilities/vla/docs/manuals/oss2023A/VLAreshigh.png/@@download/image/VLAreshigh.png
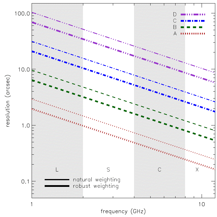
VLAreslow.png
https://science.nrao.edu/facilities/vla/docs/manuals/oss2023A/VLAreslow.png/view
https://science.nrao.edu/facilities/vla/docs/manuals/oss2023A/VLAreslow.png/@@download/image/VLAreslow.png
SEFD LSCX
https://science.nrao.edu/facilities/vla/docs/manuals/oss2023A/copy_of_low.png/view
https://science.nrao.edu/facilities/vla/docs/manuals/oss2023A/copy_of_low.png/@@download/image/low.png
copy_of_sefd_lscx_may2018.png
https://science.nrao.edu/facilities/vla/docs/manuals/oss2023A/copy_of_sefd_lscx_may2018.png/view
https://science.nrao.edu/facilities/vla/docs/manuals/oss2023A/copy_of_sefd_lscx_may2018.png/@@download/image/sefd_lscx_may2018.png
flux_v_ons_SN5.jpeg
https://science.nrao.edu/facilities/vla/docs/manuals/oss2023A/flux_v_ons_SN5.jpeg/view
https://science.nrao.edu/facilities/vla/docs/manuals/oss2023A/flux_v_ons_SN5.jpeg/@@download/image/flux_v_ons_SN5.jpeg
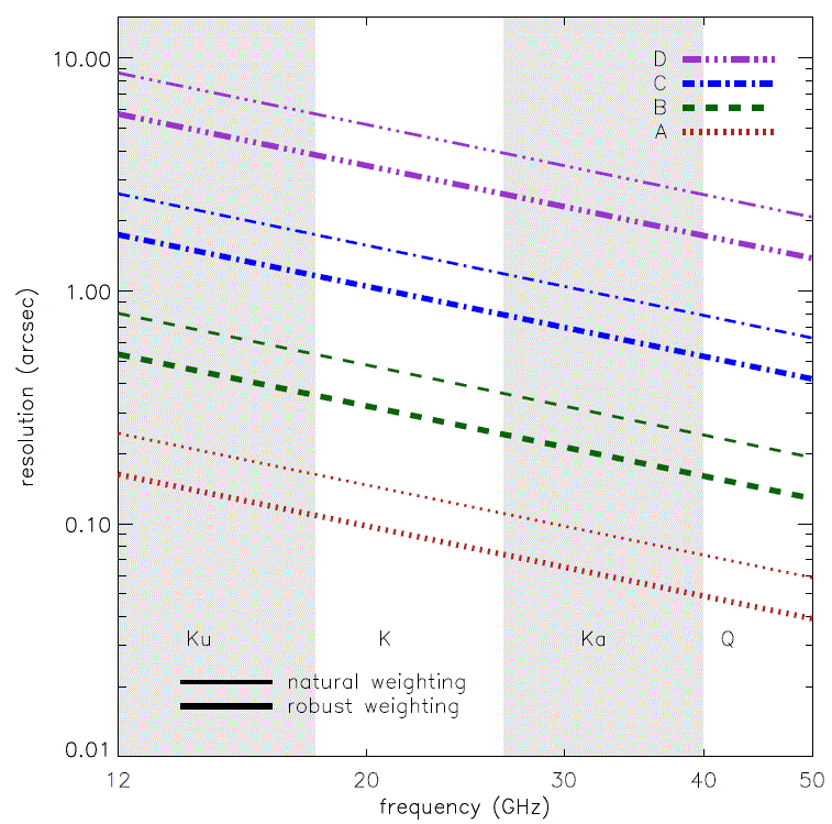
SEFD KuKKaQ do not use
https://science.nrao.edu/facilities/vla/docs/manuals/oss2023A/copy_of_high.png/view
https://science.nrao.edu/facilities/vla/docs/manuals/oss2023A/copy_of_high.png/@@download/image/high.png
sefd_lscx_june2018
https://science.nrao.edu/facilities/vla/docs/manuals/oss2023A/sefd_lowfreq.jpg/view
https://science.nrao.edu/facilities/vla/docs/manuals/oss2023A/sefd_lowfreq.jpg/@@download/image/sefd_lowfreq.jpg
sefd_lowfreq_copy
https://science.nrao.edu/facilities/vla/docs/manuals/oss2023A/sefd_lowfreq_copy.jpg/view
https://science.nrao.edu/facilities/vla/docs/manuals/oss2023A/sefd_lowfreq_copy.jpg/@@download/image/sefd_lowfreq_copy.jpg
sefd_lowfreq_mod
https://science.nrao.edu/facilities/vla/docs/manuals/oss2023A/sefd_lowfreq_mod.jpg/view
https://science.nrao.edu/facilities/vla/docs/manuals/oss2023A/sefd_lowfreq_mod.jpg/@@download/image/sefd_lowfreq_mod.jpg
sefd_lowfreq_original.jpg
https://science.nrao.edu/facilities/vla/docs/manuals/oss2023A/sefd_lowfreq_original.jpg/view
https://science.nrao.edu/facilities/vla/docs/manuals/oss2023A/sefd_lowfreq_original.jpg/@@download/image/sefd_lowfreq_original.jpg
sefd_lscx_may2018
https://science.nrao.edu/facilities/vla/docs/manuals/oss2023A/sefd_lscx_may2018.jpg/view
https://science.nrao.edu/facilities/vla/docs/manuals/oss2023A/sefd_lscx_may2018.jpg/@@download/image/sefd_lscx_may2018.jpg
copy2_of_sefd_lscx_may2018.png
https://science.nrao.edu/facilities/vla/docs/manuals/oss2023A/copy2_of_sefd_lscx_may2018.png/view
https://science.nrao.edu/facilities/vla/docs/manuals/oss2023A/copy2_of_sefd_lscx_may2018.png/@@download/image/sefd_lscx_may2018.png
New SEFD LSCX
New SEFDs
https://science.nrao.edu/facilities/vla/docs/manuals/oss2023A/copy_of_sefd_lscx_sep2016.png/view
https://science.nrao.edu/facilities/vla/docs/manuals/oss2023A/copy_of_sefd_lscx_sep2016.png/@@download/image/sefd_lscx_sep2016.png
New SEFDs
sefd_screenshot
https://science.nrao.edu/facilities/vla/docs/manuals/oss2023A/sefd_screenshot.png/view
https://science.nrao.edu/facilities/vla/docs/manuals/oss2023A/sefd_screenshot.png/@@download/image/sefd_screenshot.png
copy_of_low.pdf
https://science.nrao.edu/facilities/vla/docs/manuals/oss2023A/copy_of_low.pdf/view
https://science.nrao.edu/@@site-logo/headergraphic_v3.png
low.pdf
https://science.nrao.edu/facilities/vla/docs/manuals/oss2023A/low.pdf/view
https://science.nrao.edu/@@site-logo/headergraphic_v3.png
Connect with NRAO